
先週は米大統領選で一時乱高下しましたが、結局リスク選好の
方向へ流れていますね。
先週のポン円の値幅1,256.6Pips(251.32Pips/日)でした。

ユードルも振られましたが、安値更新してますね。

ユーロ円は雲上で直近高値更新ですね。

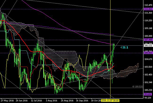
そしてドル円は目先のMAです。
ここから更に上昇方向でしょうか。

米長期金利にも注目しつつ今週も頑張っていきましょ。
“おっくんの「ちょっとすいませ〜ん」”

Follow @okkun_pw

先週は米大統領選で一時乱高下しましたが、結局リスク選好の
方向へ流れていますね。
先週のポン円の値幅1,256.6Pips(251.32Pips/日)でした。

ユードルも振られましたが、安値更新してますね。

ユーロ円は雲上で直近高値更新ですね。

そしてドル円は目先のMAです。
ここから更に上昇方向でしょうか。

米長期金利にも注目しつつ今週も頑張っていきましょ。
“おっくんの「ちょっとすいませ〜ん」”

Follow @okkun_pw